精密製程 × 材料建模 × 黏度自由化工程平台

塑膠材料流變特性估測系統

視覺化與進階工程資料分析平台(塑膠材料流變建模系統)

產品背景

本系統由琮閔開發,專為塑膠材料研發、加工工程與製程優化所設計。 結合科學物性檢測、數據擬合技術與視覺化分析工具, 讓每一次材料送測都能沉澱成具有工程價值的「材料特性模型」。

透過模型化後的材料曲線,研發與品管部門能更科學地理解材料行為, 避免反覆試模,提高加工成功率,加速材料選用與製程開發流程。

系統位置:國立高X科技大學

系統位置:嘉義某異形押出成形廠

標準件建模交付時間:2 週

產品架構

材料流變建模系統架構示意

系統以材料物性試驗為基礎,提供以下核心功能模組:

  • 材料特性建模(Modeling)
    依據流動性、黏度、熱穩定性等實驗資料,自動建立物性模型。
  • 參數化查詢(Parametric Query)
    輸入溫度或剪切速率即可查詢黏度,實現「材料黏度自由」。
  • 視覺化分析儀表板(Visualization Dashboard)
    互動式曲線圖、材料比較、黏度分佈等動態分析工具。
  • 快速導入流程(Rapid Deployment)
    送測 → 建模 → 上線使用,標準件最慢 2 週交付。

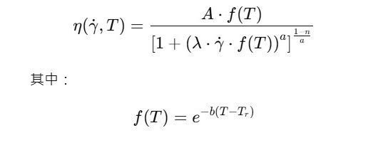
依據材料的流變檢測結果,我們使用流變模型對實際量測數據進行重新定型,以建立專 屬於此材料的數值模型,便於未來在不同設計或製程分析中快速套用。

本系統採用 Carreau 模型 作為主要流變模型,並加入 Arrhenius 型溫度校正,可根據 溫度與剪切率精準模擬高分子熔體的黏度行為,使模型更貼近材料在實際加工條件下的 流動特性。

假設此材料經數值模型定型後,其參數如下:

  • A = 1,000,000
  • λ = 16.599
  • n = 0.1743
  • a = 4
  • b = 0.038
  • Tr = 180

開啟程式後,請先輸入上述六個主要係數(預設值為 9–270)。接著輸入欲觀測的目 標溫度,一次最多可設定五種(以逗號分隔)。剪切率則可設定最多十個觀測點(同樣 以逗號分隔)。完成設定後按下「計算」,即可產生對應的圖表與數據表,協助您快速 評估不同製程條件下的黏度變化。

材料流變Carreau模型

關鍵技術

本系統整合琮閔的資料建模技術與材料試驗服務,並支援進階擴充:

適用領域

材料研發

建立材料特性資料庫,加速配方開發與原料選用。

射出與押出成型

預測黏度行為,降低試模次數與加工風險。

材料品管與供應鏈管理

有效比較不同批次或供應商材料差異。

學研單位與研究中心

提供可計算、可驗證、可視覺化的流變模型。

想快速建立材料流變模型?

從送測到模型交付最快只要 2 週,協助您以科學數據取代試誤流程。

聯絡我們